三重硫杂的扭曲多环芳烃分子
2021-11-16 14:21:00多环芳烃是包含两个或两个以上芳环的共轭分子,具有优良的光、电、自组装性能。硫掺杂多环芳烃分子具有合适的电子能级、强分子间作用等,表现出增强的电学性能,是性能优异的光电有机电子器件活性材料。
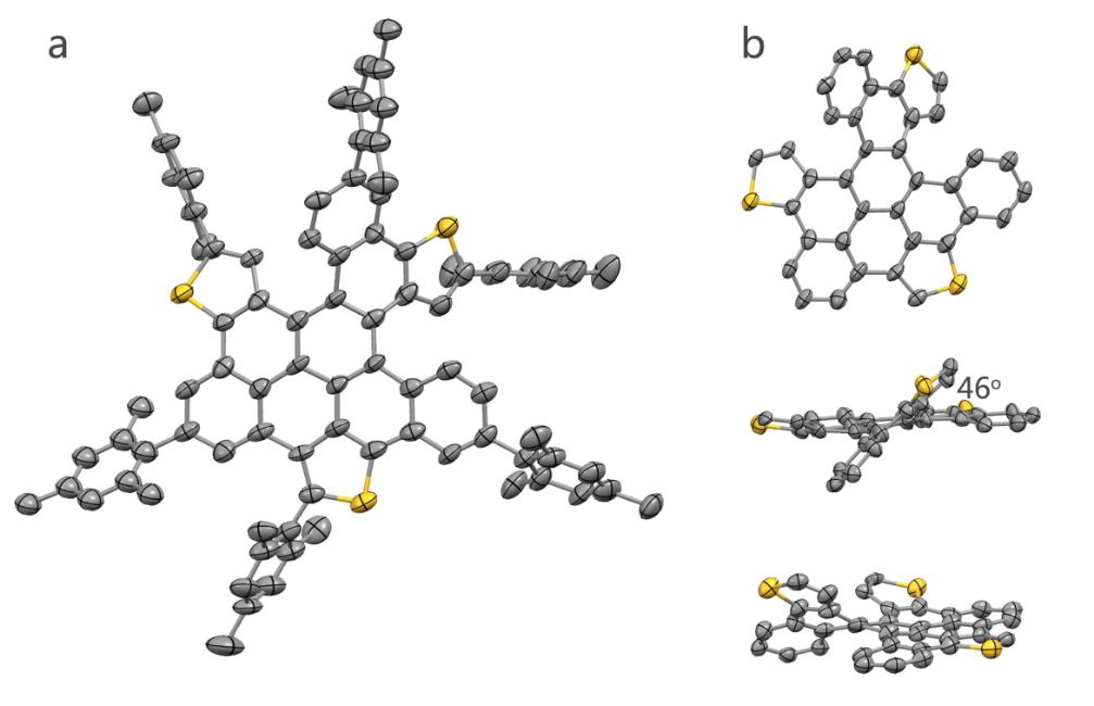
近日,厦门大学谭元植教授等受邀在《科学通报》“厦门大学建校暨化学学科创立100周年”专辑发表论文,结合杂原子掺杂和碳骨架几何结构调控,合成了三重硫杂的扭曲多环芳烃分子C36S3H10(C9H11)6。该分子是由含有三个噻吩环的寡聚苯撑分子前体进行氧化脱氢环化制备得到的。X射线单晶衍射确定了该分子的确切结构:含有两个五螺烯单元,从而呈现出扭曲的分子结构。这种扭曲的结构阻碍了分子间的π-π堆积(见下图)。

三重硫杂多环芳烃分子的晶体结构. (a) 分子的结构俯视图;(b)分子共轭碳骨架内核的结构俯视图及侧视图
单晶衍射表征不但确认了该分子的分子结构,而且揭示了该分子的晶态堆积模式。在晶态中,该分子首先通过C-H···π及弱π-π相互作用形成二聚体。有趣的是,该一维柱状结构通过C-H···S弱作用,在其010晶面按四方格子进行进一步的堆积组装。这表明了硫杂和扭曲结构对该分子的组装结构有着重要的调控作用(见下图)。

三重硫杂多环芳烃分子的晶体堆积结构. (a) 二聚体的结构; (b) 一维柱状堆积结构; (c) 010晶面堆积结构。天蓝色虚线表示分子间弱作用
通过变浓度的紫外及荧光光谱表征,研究者证实该分子在溶液中也难以发生聚集。该分子具有黄色荧光,荧光量子产率约为1.1%。结合瞬态荧光光谱研究表明,该分子具有很快的非辐射跃迁速率,可能源自于其扭曲的分子结构。
该工作表明,通过对含硫杂环的寡聚苯撑分子进行氧化环化,是合成硫杂多环芳烃的有效途径。该三重硫杂扭曲多环芳烃的合成,丰富了硫杂多环芳烃的种类。在此基础上,进一步合成具有烷基链增溶的该分子的衍生物,可以作为有机半导体或电子给体,应用于太阳能电池、有机电子器件等。
本文来自《科学通报》









京公网安备11010502039775号


